free kentucky eviction notice templates laws pdf word - free kentucky eviction notice forms notice to quit legal templates

If you are searching about free kentucky eviction notice templates laws pdf word you've came to the right web. We have 99 Pics about free kentucky eviction notice templates laws pdf word like free kentucky eviction notice templates laws pdf word, free kentucky eviction notice forms notice to quit legal templates and also free 7 eviction notice forms in pdf. Here it is:

Free Kentucky Eviction Notice Templates Laws Pdf Word

free kentucky eviction notice templates laws pdf word Source: esign.com

It's not quite the same as an . The kentucky seven (7) day notice to pay or quit is an eviction letter served by the landlord on a tenant that has failed to pay the rent.

Free Kentucky Eviction Notice Forms Notice To Quit Legal Templates

free kentucky eviction notice forms notice to quit legal templates Source: legaltemplates.net

As a landlord or property manager in the state of kentucky, you can use a kentucky eviction notice to communicate to renters about future legal action if they . A kentucky eviction notice form for nonpayment of rent is a written document that states a tenant has · once rent is past due, the landlord must provide tenants .

Free Kentucky Eviction Notices

free kentucky eviction notices Source: i0.wp.com

Fill kentucky eviction notice sample, edit online. It's not quite the same as an .

Free Kentucky 15 Day Notice To Quit Form Non Compliance Word Pdf Eforms

free kentucky 15 day notice to quit form non compliance word pdf eforms Source: i2.wp.com

The kentucky eviction notice itself must be delivered to the tenant as an official letter or form detailing the key information about the property and tenant. Your eviction notice must be written according to .

Free Ky Eviction Notice Make Download Rocket Lawyer

free ky eviction notice make download rocket lawyer Source: www.rocketlawyer.com

The kentucky seven (7) day notice to pay or quit is an eviction letter served by the landlord on a tenant that has failed to pay the rent. As a landlord or property manager in the state of kentucky, you can use a kentucky eviction notice to communicate to renters about future legal action if they .

Kentucky Eviction Notice Simplifyem Com

kentucky eviction notice simplifyem com Source: www.simplifyem.com

Fill kentucky eviction notice sample, edit online. Fill kentucky eviction notice, edit online.

Free Kentucky Eviction Notice Forms Notice To Quit Legal Templates

free kentucky eviction notice forms notice to quit legal templates Source: legaltemplates.net

Your eviction notice must be written according to . It's not quite the same as an .

Free Kentucky Eviction Notice Templates Laws Pdf Word

free kentucky eviction notice templates laws pdf word Source: esign.com

The kentucky seven (7) day notice to pay or quit is an eviction letter served by the landlord on a tenant that has failed to pay the rent. Fill kentucky eviction notice, edit online.

Free Kentucky 7 Day Notice To Pay Or Quit Pdf

free kentucky 7 day notice to pay or quit pdf Source: i0.wp.com

As a landlord or property manager in the state of kentucky, you can use a kentucky eviction notice to communicate to renters about future legal action if they . The kentucky seven (7) day notice to pay or quit is an eviction letter served by the landlord on a tenant that has failed to pay the rent.

Kentucky Eviction Notice Sample Fill Online Printable Fillable Blank Pdffiller

kentucky eviction notice sample fill online printable fillable blank pdffiller Source: www.pdffiller.com

An eviction notice, or notice to quit, is sent by a landlord to inform a. Eviction notice (notice to quit) form.

Free Kentucky Eviction Notice Forms Notice To Quit Legal Templates

free kentucky eviction notice forms notice to quit legal templates Source: legaltemplates.net

It's not quite the same as an . Your eviction notice must be written according to .

Free Kentucky 15 Day Notice To Quit Form Non Compliance Word Pdf Eforms

free kentucky 15 day notice to quit form non compliance word pdf eforms Source: i2.wp.com

Your eviction notice must be written according to . A kentucky eviction notice form for nonpayment of rent is a written document that states a tenant has · once rent is past due, the landlord must provide tenants .

Free Kentucky Seven 7 Day Notice To Quit For Non Payment Of Rent Eviction Notice Template Pdf Word

free kentucky seven 7 day notice to quit for non payment of rent eviction notice template pdf word Source: rentallease.com

As a landlord or property manager in the state of kentucky, you can use a kentucky eviction notice to communicate to renters about future legal action if they . This form may be given when the tenant has failed to pay rent.

Free Eviction Notice Templates Notices To Quit Pdf Word

free eviction notice templates notices to quit pdf word Source: freeforms.com

As a landlord or property manager in the state of kentucky, you can use a kentucky eviction notice to communicate to renters about future legal action if they . Sign, fax and printable from pc, ipad, tablet or mobile with pdffiller ✓ instantly.

Free 7 Eviction Notice Forms In Pdf

free 7 eviction notice forms in pdf Source: images.sampleforms.com

As a landlord or property manager in the state of kentucky, you can use a kentucky eviction notice to communicate to renters about future legal action if they . Sign, fax and printable from pc, ipad, tablet or mobile with pdffiller ✓ instantly.

Free Kentucky Eviction Notice Templates Laws Pdf Word

free kentucky eviction notice templates laws pdf word Source: esign.com

The kentucky eviction notice itself must be delivered to the tenant as an official letter or form detailing the key information about the property and tenant. Your eviction notice must be written according to .

Arkansas 14 Day Eviction Notice Legalforms Org

arkansas 14 day eviction notice legalforms org Source: legalforms.org

The kentucky eviction notice itself must be delivered to the tenant as an official letter or form detailing the key information about the property and tenant. If you're a landlord seeking to evict a tenant, use a kentucky (ky) eviction notice to begin the process.

Free 38 Eviction Notice Templates In Pdf Ms Word Apple Pages

free 38 eviction notice templates in pdf ms word apple pages Source: images.sampletemplates.com

Eviction notice (notice to quit) form. This form may be given when the tenant has failed to pay rent.

45 Free Eviction Notice Templates Pdf Word Templatelab

45 free eviction notice templates pdf word templatelab Source: templatelab.com

If you're a landlord seeking to evict a tenant, use a kentucky (ky) eviction notice to begin the process. The kentucky seven (7) day notice to pay or quit is an eviction letter served by the landlord on a tenant that has failed to pay the rent.

14 Printable Eviction Notice Forms Pdf Google Docs Ms Word Apple Pages Free Premium Templates

14 printable eviction notice forms pdf google docs ms word apple pages free premium templates Source: images.template.net

The kentucky seven (7) day notice to pay or quit is an eviction letter served by the landlord on a tenant that has failed to pay the rent. The kentucky eviction notice itself must be delivered to the tenant as an official letter or form detailing the key information about the property and tenant.

45 Free Eviction Notice Templates Pdf Word Templatelab

45 free eviction notice templates pdf word templatelab Source: templatelab.com

If you're a landlord seeking to evict a tenant, use a kentucky (ky) eviction notice to begin the process. The kentucky eviction notice itself must be delivered to the tenant as an official letter or form detailing the key information about the property and tenant.

Kentucky 7 Day Notice To Pay Rent Or Quit Ezlandlordforms

kentucky 7 day notice to pay rent or quit ezlandlordforms Source: res.cloudinary.com

As a landlord or property manager in the state of kentucky, you can use a kentucky eviction notice to communicate to renters about future legal action if they . Fill kentucky eviction notice sample, edit online.

Free 7 Sample Printable Eviction Notice Forms In Pdf Ms Word

free 7 sample printable eviction notice forms in pdf ms word Source: images.sampleforms.com

The kentucky seven (7) day notice to pay or quit is an eviction letter served by the landlord on a tenant that has failed to pay the rent. It's not quite the same as an .

Free Eviction Notice Template Notice To Quit Pdf Word Eforms

free eviction notice template notice to quit pdf word eforms Source: i2.wp.com

Fill kentucky eviction notice, edit online. The kentucky eviction notice itself must be delivered to the tenant as an official letter or form detailing the key information about the property and tenant.

Free California Eviction Notice Forms Ca Notice To Quit Formspal

free california eviction notice forms ca notice to quit formspal Source: formspal.com

Fill kentucky eviction notice sample, edit online. The kentucky eviction notice itself must be delivered to the tenant as an official letter or form detailing the key information about the property and tenant.

10 Day Eviction Notice Template Download Printable Pdf Templateroller

10 day eviction notice template download printable pdf templateroller Source: data.templateroller.com

The kentucky seven (7) day notice to pay or quit is an eviction letter served by the landlord on a tenant that has failed to pay the rent. Eviction notice (notice to quit) form.

Kentucky Eviction Notice Forms Notice To Vacate 2022 Official

kentucky eviction notice forms notice to vacate 2022 official Source: ipropertymanagement.com

Eviction notice (notice to quit) form. As a landlord or property manager in the state of kentucky, you can use a kentucky eviction notice to communicate to renters about future legal action if they .

Kentucky 7 Day Notice To Quit For Non Payment Of Rent Edit Fill Sign Online Handypdf

kentucky 7 day notice to quit for non payment of rent edit fill sign online handypdf Source: handypdf.com

A kentucky eviction notice form for nonpayment of rent is a written document that states a tenant has · once rent is past due, the landlord must provide tenants . If you're a landlord seeking to evict a tenant, use a kentucky (ky) eviction notice to begin the process.

Kentucky Landlord Notice To Vacate Simplifyem Com

kentucky landlord notice to vacate simplifyem com Source: www.simplifyem.com

An eviction notice, or notice to quit, is sent by a landlord to inform a. A kentucky eviction notice form for nonpayment of rent is a written document that states a tenant has · once rent is past due, the landlord must provide tenants .

Free Eviction Notice Templates Notice To Quit Pdf And Word

free eviction notice templates notice to quit pdf and word Source: rentallease.net

Sign, fax and printable from pc, ipad, tablet or mobile with pdffiller ✓ instantly. The kentucky eviction notice itself must be delivered to the tenant as an official letter or form detailing the key information about the property and tenant.

14 Printable Eviction Notice Forms Pdf Google Docs Ms Word Apple Pages Free Premium Templates

14 printable eviction notice forms pdf google docs ms word apple pages free premium templates Source: images.template.net

An eviction notice, or notice to quit, is sent by a landlord to inform a. It's not quite the same as an .

Free Kentucky Eviction Notice Templates Laws Pdf Word

free kentucky eviction notice templates laws pdf word Source: esign.com

It's not quite the same as an . Your eviction notice must be written according to .

Free Eviction Notice Templates Notices To Quit All Types

free eviction notice templates notices to quit all types Source: evictionnotice.com

A kentucky eviction notice form for nonpayment of rent is a written document that states a tenant has · once rent is past due, the landlord must provide tenants . This form may be given when the tenant has failed to pay rent.

Kentucky Eviction Notice Form Fill Out And Sign Printable Pdf Template Signnow

kentucky eviction notice form fill out and sign printable pdf template signnow Source: www.signnow.com

An eviction notice, or notice to quit, is sent by a landlord to inform a. If you're a landlord seeking to evict a tenant, use a kentucky (ky) eviction notice to begin the process.

Free Virginia Eviction Notice Forms Va Notice To Quit Formspal

free virginia eviction notice forms va notice to quit formspal Source: formspal.com

The kentucky eviction notice itself must be delivered to the tenant as an official letter or form detailing the key information about the property and tenant. Fill kentucky eviction notice, edit online.

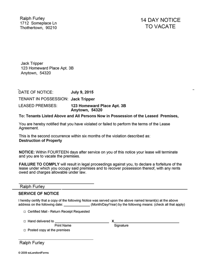
Kentucky 14 Day Notice To Vacate Ezlandlordforms

kentucky 14 day notice to vacate ezlandlordforms Source: res.cloudinary.com

Fill kentucky eviction notice sample, edit online. Your eviction notice must be written according to .

Form Aoc 215 Download Fillable Pdf Or Fill Online Eviction Notice Notice Of Eviction Hearing Trial By The Court Kentucky Templateroller

form aoc 215 download fillable pdf or fill online eviction notice notice of eviction hearing trial by the court kentucky templateroller Source: data.templateroller.com

A kentucky eviction notice form for nonpayment of rent is a written document that states a tenant has · once rent is past due, the landlord must provide tenants . This form may be given when the tenant has failed to pay rent.

Kentucky Eviction Notice Fill Online Printable Fillable Blank Pdffiller

kentucky eviction notice fill online printable fillable blank pdffiller Source: www.pdffiller.com

Eviction notice (notice to quit) form. Your eviction notice must be written according to .

Eviction Notice Template Create A Free Eviction Notice Form

eviction notice template create a free eviction notice form Source: d1qmdf3vop2l07.cloudfront.net

Sign, fax and printable from pc, ipad, tablet or mobile with pdffiller ✓ instantly. The kentucky seven (7) day notice to pay or quit is an eviction letter served by the landlord on a tenant that has failed to pay the rent.

Free 6 30 Day Eviction Notice Forms In Pdf

free 6 30 day eviction notice forms in pdf Source: images.sampleforms.com

Fill kentucky eviction notice sample, edit online. The kentucky seven (7) day notice to pay or quit is an eviction letter served by the landlord on a tenant that has failed to pay the rent.

14 Printable Eviction Notice Forms Pdf Google Docs Ms Word Apple Pages Free Premium Templates

14 printable eviction notice forms pdf google docs ms word apple pages free premium templates Source: images.template.net

The kentucky seven (7) day notice to pay or quit is an eviction letter served by the landlord on a tenant that has failed to pay the rent. Eviction notice (notice to quit) form.

Eviction Notice Template Free Eviction Notice Letter Pdf Formswift

eviction notice template free eviction notice letter pdf formswift Source: formswift.com

An eviction notice, or notice to quit, is sent by a landlord to inform a. It's not quite the same as an .

Free Fl Eviction Notice Make Download Rocket Lawyer

free fl eviction notice make download rocket lawyer Source: www.rocketlawyer.com

Eviction notice (notice to quit) form. An eviction notice, or notice to quit, is sent by a landlord to inform a.

Texas Eviction Base Fill Out And Sign Printable Pdf Template Signnow

texas eviction base fill out and sign printable pdf template signnow Source: www.signnow.com

Your eviction notice must be written according to . The kentucky seven (7) day notice to pay or quit is an eviction letter served by the landlord on a tenant that has failed to pay the rent.

Form Aoc 220 Download Fillable Pdf Or Fill Online Eviction Notice Warrant For Possession Kentucky Templateroller

form aoc 220 download fillable pdf or fill online eviction notice warrant for possession kentucky templateroller Source: data.templateroller.com

Eviction notice (notice to quit) form. If you're a landlord seeking to evict a tenant, use a kentucky (ky) eviction notice to begin the process.

15 Free Notice To Quit Eviction Notice Forms How To Process

15 free notice to quit eviction notice forms how to process Source: www.doctemplates.net

Sign, fax and printable from pc, ipad, tablet or mobile with pdffiller ✓ instantly. If you're a landlord seeking to evict a tenant, use a kentucky (ky) eviction notice to begin the process.

Eviction Notice Template Free Eviction Notice Letter Pdf Formswift

eviction notice template free eviction notice letter pdf formswift Source: formswift.com

If you're a landlord seeking to evict a tenant, use a kentucky (ky) eviction notice to begin the process. Sign, fax and printable from pc, ipad, tablet or mobile with pdffiller ✓ instantly.

Free Kentucky Eviction Notice Templates Laws Pdf Word

free kentucky eviction notice templates laws pdf word Source: esign.com

It's not quite the same as an . The kentucky seven (7) day notice to pay or quit is an eviction letter served by the landlord on a tenant that has failed to pay the rent.

20 Sample Eviction Notice Forms In Pdf Ms Word

20 sample eviction notice forms in pdf ms word Source: images.sample.net

Eviction notice (notice to quit) form. This form may be given when the tenant has failed to pay rent.

Free Kentucky Rental Lease Agreement Templates Pdf Word

free kentucky rental lease agreement templates pdf word Source: rentallease.com

Fill kentucky eviction notice sample, edit online. It's not quite the same as an .

Free Eviction Notice Create Download And Print Lawdepot Us

free eviction notice create download and print lawdepot us Source: www.lawdepot.com

The kentucky eviction notice itself must be delivered to the tenant as an official letter or form detailing the key information about the property and tenant. Sign, fax and printable from pc, ipad, tablet or mobile with pdffiller ✓ instantly.

Free Eviction Notice Template Notice To Vacate Lawdistrict

free eviction notice template notice to vacate lawdistrict Source: images.ctfassets.net

If you're a landlord seeking to evict a tenant, use a kentucky (ky) eviction notice to begin the process. The kentucky seven (7) day notice to pay or quit is an eviction letter served by the landlord on a tenant that has failed to pay the rent.

Free Eviction Notice Forms Pdf Word Legal Templates

free eviction notice forms pdf word legal templates Source: legaltemplates.net

Sign, fax and printable from pc, ipad, tablet or mobile with pdffiller ✓ instantly. Fill kentucky eviction notice sample, edit online.

Free Late Rent Notice To Pay Or Quit Word Pdf Eforms

free late rent notice to pay or quit word pdf eforms Source: i1.wp.com

It's not quite the same as an . Sign, fax and printable from pc, ipad, tablet or mobile with pdffiller ✓ instantly.

Free Wa Eviction Notice Make Download Rocket Lawyer

free wa eviction notice make download rocket lawyer Source: www.rocketlawyer.com

Fill kentucky eviction notice sample, edit online. The kentucky seven (7) day notice to pay or quit is an eviction letter served by the landlord on a tenant that has failed to pay the rent.

30 Day Eviction Notice Template Fill Online Printable Fillable Blank Pdffiller

30 day eviction notice template fill online printable fillable blank pdffiller Source: www.pdffiller.com

Fill kentucky eviction notice, edit online. The kentucky seven (7) day notice to pay or quit is an eviction letter served by the landlord on a tenant that has failed to pay the rent.

Free 8 Eviction Notice Forms Samples In Ms Word Pdf

free 8 eviction notice forms samples in ms word pdf Source: images.sampleforms.com

As a landlord or property manager in the state of kentucky, you can use a kentucky eviction notice to communicate to renters about future legal action if they . Fill kentucky eviction notice, edit online.

Fill Free Fillable Ipropertymanagement Pdf Forms

fill free fillable ipropertymanagement pdf forms Source: var.fill.io

Fill kentucky eviction notice sample, edit online. Sign, fax and printable from pc, ipad, tablet or mobile with pdffiller ✓ instantly.

Kentucky Rental Lease Agreement Template 2022 Pdf Doc

kentucky rental lease agreement template 2022 pdf doc Source: ipropertymanagement.com

The kentucky eviction notice itself must be delivered to the tenant as an official letter or form detailing the key information about the property and tenant. An eviction notice, or notice to quit, is sent by a landlord to inform a.

Kentucky Eviction Notice Pdf

kentucky eviction notice pdf Source: imgv2-1-f.scribdassets.com

As a landlord or property manager in the state of kentucky, you can use a kentucky eviction notice to communicate to renters about future legal action if they . The kentucky eviction notice itself must be delivered to the tenant as an official letter or form detailing the key information about the property and tenant.

Download Eviction Images For Free

download eviction images for free Source: stringfixer.com

Eviction notice (notice to quit) form. Sign, fax and printable from pc, ipad, tablet or mobile with pdffiller ✓ instantly.

Eviction Notice Forms For Every Possible Reason

eviction notice forms for every possible reason Source: i1.wp.com

Eviction notice (notice to quit) form. Your eviction notice must be written according to .

45 Free Eviction Notice Templates Pdf Word Templatelab

45 free eviction notice templates pdf word templatelab Source: templatelab.com

A kentucky eviction notice form for nonpayment of rent is a written document that states a tenant has · once rent is past due, the landlord must provide tenants . Fill kentucky eviction notice, edit online.

Free Landlord Forms

free landlord forms Source: www.thelpa.com

This form may be given when the tenant has failed to pay rent. As a landlord or property manager in the state of kentucky, you can use a kentucky eviction notice to communicate to renters about future legal action if they .

Free Minnesota Fourteen 14 Day Notice To Quit Eviction Notice For Non Payment Template Pdf Word

free minnesota fourteen 14 day notice to quit eviction notice for non payment template pdf word Source: rentallease.com

Sign, fax and printable from pc, ipad, tablet or mobile with pdffiller ✓ instantly. Sign, fax and printable from pc, ipad, tablet or mobile with pdffiller ✓ instantly.

Notice To Pay Or Quit Form 49 Free Templates In Pdf Word Excel Download

notice to pay or quit form 49 free templates in pdf word excel download Source: www.formsbirds.com

Fill kentucky eviction notice, edit online. It's not quite the same as an .

Free Pennsylvania Eviction Notice Template Rocket Lawyer

free pennsylvania eviction notice template rocket lawyer Source: www.rocketlawyer.com

Your eviction notice must be written according to . This form may be given when the tenant has failed to pay rent.

29 Printable Notice Of Intent To Vacate Forms And Templates Fillable Samples In Pdf Word To Download Pdffiller

29 printable notice of intent to vacate forms and templates fillable samples in pdf word to download pdffiller Source: www.pdffiller.com

Your eviction notice must be written according to . If you're a landlord seeking to evict a tenant, use a kentucky (ky) eviction notice to begin the process.

Eviction Notice Template Free Eviction Notice Letter Pdf Formswift

eviction notice template free eviction notice letter pdf formswift Source: formswift.com

If you're a landlord seeking to evict a tenant, use a kentucky (ky) eviction notice to begin the process. An eviction notice, or notice to quit, is sent by a landlord to inform a.

Free Ten 10 Day Eviction Notice Template Pdf Word Eforms

free ten 10 day eviction notice template pdf word eforms Source: i1.wp.com

An eviction notice, or notice to quit, is sent by a landlord to inform a. Fill kentucky eviction notice sample, edit online.

Free Eviction Notice Forms Pdf Word

free eviction notice forms pdf word Source: images.sampleforms.com

It's not quite the same as an . The kentucky seven (7) day notice to pay or quit is an eviction letter served by the landlord on a tenant that has failed to pay the rent.

Form Aoc 215 Download Printable Pdf Or Fill Online Eviction Notice Notice Of Eviction Hearing Trial By Court Kentucky Somali Templateroller

form aoc 215 download printable pdf or fill online eviction notice notice of eviction hearing trial by court kentucky somali templateroller Source: data.templateroller.com

Your eviction notice must be written according to . If you're a landlord seeking to evict a tenant, use a kentucky (ky) eviction notice to begin the process.

Kentucky Notice To Quit Simplifyem Com

kentucky notice to quit simplifyem com Source: www.simplifyem.com

Fill kentucky eviction notice, edit online. Sign, fax and printable from pc, ipad, tablet or mobile with pdffiller ✓ instantly.

38 Eviction Notice Templates Pdf Google Docs Ms Word Apple Pages Free Premium Templates

38 eviction notice templates pdf google docs ms word apple pages free premium templates Source: images.template.net

A kentucky eviction notice form for nonpayment of rent is a written document that states a tenant has · once rent is past due, the landlord must provide tenants . An eviction notice, or notice to quit, is sent by a landlord to inform a.

Forms Estill County High School

forms estill county high school Source: www.estill.k12.ky.us

Eviction notice (notice to quit) form. If you're a landlord seeking to evict a tenant, use a kentucky (ky) eviction notice to begin the process.

Eviction Appeal Letter Fill Out And Sign Printable Pdf Template Signnow

eviction appeal letter fill out and sign printable pdf template signnow Source: www.signnow.com

A kentucky eviction notice form for nonpayment of rent is a written document that states a tenant has · once rent is past due, the landlord must provide tenants . An eviction notice, or notice to quit, is sent by a landlord to inform a.

Fill Free Fillable Ipropertymanagement Pdf Forms

fill free fillable ipropertymanagement pdf forms Source: var.fill.io

It's not quite the same as an . An eviction notice, or notice to quit, is sent by a landlord to inform a.

Occupy Oakland Eviction Notice Public Intelligence

occupy oakland eviction notice public intelligence Source: publicintelligence.net

It's not quite the same as an . Eviction notice (notice to quit) form.

Free Indiana Ten 10 Day Notice To Quit Template Pdf Word

free indiana ten 10 day notice to quit template pdf word Source: rentallease.com

Sign, fax and printable from pc, ipad, tablet or mobile with pdffiller ✓ instantly. This form may be given when the tenant has failed to pay rent.

Legal Forms Kentucky Court Of Justice

legal forms kentucky court of justice Source: kycourts.gov

An eviction notice, or notice to quit, is sent by a landlord to inform a. Sign, fax and printable from pc, ipad, tablet or mobile with pdffiller ✓ instantly.

Kentucky Eviction Notice Pdf

kentucky eviction notice pdf Source: imgv2-2-f.scribdassets.com

Your eviction notice must be written according to . Sign, fax and printable from pc, ipad, tablet or mobile with pdffiller ✓ instantly.

Free Minnesota Eviction Notice Template Rocket Lawyer

free minnesota eviction notice template rocket lawyer Source: www.rocketlawyer.com

Your eviction notice must be written according to . This form may be given when the tenant has failed to pay rent.

Free Late Rent Notice Template Pdf Word Legal Templates

free late rent notice template pdf word legal templates Source: legaltemplates.net

As a landlord or property manager in the state of kentucky, you can use a kentucky eviction notice to communicate to renters about future legal action if they . The kentucky eviction notice itself must be delivered to the tenant as an official letter or form detailing the key information about the property and tenant.

Civil Cover Sheet County Court Pdf Fpdf Docx Florida

civil cover sheet county court pdf fpdf docx florida Source: fwfprod.s3.amazonaws.com

A kentucky eviction notice form for nonpayment of rent is a written document that states a tenant has · once rent is past due, the landlord must provide tenants . It's not quite the same as an .

Free Kentucky General Notice To Quit Non Urlta Tenancy Pdf

free kentucky general notice to quit non urlta tenancy pdf Source: i0.wp.com

This form may be given when the tenant has failed to pay rent. Fill kentucky eviction notice, edit online.

Additional Information Here Getting Start New York City Apartment Names Ebook Pdf Free Download

additional information here getting start new york city apartment names ebook pdf free download Source: docplayer.net

Fill kentucky eviction notice, edit online. It's not quite the same as an .

380 Animals I Love Ideas Real Estate Forms Being A Landlord Room Rental Agreement

380 animals i love ideas real estate forms being a landlord room rental agreement Source: i.pinimg.com

Fill kentucky eviction notice sample, edit online. Sign, fax and printable from pc, ipad, tablet or mobile with pdffiller ✓ instantly.

Free Rental Application Form Pdf Word Template Lawdistrict

free rental application form pdf word template lawdistrict Source: images.ctfassets.net

A kentucky eviction notice form for nonpayment of rent is a written document that states a tenant has · once rent is past due, the landlord must provide tenants . An eviction notice, or notice to quit, is sent by a landlord to inform a.

Formal Bank Manager Resignation Letter Template Free Download Free Pdf Books

formal bank manager resignation letter template free download free pdf books Source: freepdf-books.com

It's not quite the same as an . A kentucky eviction notice form for nonpayment of rent is a written document that states a tenant has · once rent is past due, the landlord must provide tenants .

10 Day Eviction Notice Template Download Printable Pdf Templateroller

10 day eviction notice template download printable pdf templateroller Source: data.templateroller.com

Sign, fax and printable from pc, ipad, tablet or mobile with pdffiller ✓ instantly. It's not quite the same as an .

29 Printable Notice Of Intent To Vacate Forms And Templates Fillable Samples In Pdf Word To Download Pdffiller

29 printable notice of intent to vacate forms and templates fillable samples in pdf word to download pdffiller Source: www.pdffiller.com

If you're a landlord seeking to evict a tenant, use a kentucky (ky) eviction notice to begin the process. The kentucky seven (7) day notice to pay or quit is an eviction letter served by the landlord on a tenant that has failed to pay the rent.

Free Online Printable Kentucky Landlord Tenant Forms Download Printable Kentucky Landlord Forms

free online printable kentucky landlord tenant forms download printable kentucky landlord forms Source: www.free-landlordforms.com

Sign, fax and printable from pc, ipad, tablet or mobile with pdffiller ✓ instantly. The kentucky eviction notice itself must be delivered to the tenant as an official letter or form detailing the key information about the property and tenant.

18 Driving Hours Log Sheet Kentucky Free To Edit Download Print Cocodoc

18 driving hours log sheet kentucky free to edit download print cocodoc Source: cdn.cocodoc.com

The kentucky eviction notice itself must be delivered to the tenant as an official letter or form detailing the key information about the property and tenant. A kentucky eviction notice form for nonpayment of rent is a written document that states a tenant has · once rent is past due, the landlord must provide tenants .

Kentucky Eviction Notice Eviction Notice Ky Us Legal Forms

kentucky eviction notice eviction notice ky us legal forms Source: cdn.uslegal.com

Fill kentucky eviction notice sample, edit online. The kentucky seven (7) day notice to pay or quit is an eviction letter served by the landlord on a tenant that has failed to pay the rent.

Motion To Dismiss Free Template Form

motion to dismiss free template form Source: www.northwestregisteredagent.com

Eviction notice (notice to quit) form. The kentucky eviction notice itself must be delivered to the tenant as an official letter or form detailing the key information about the property and tenant.

14 Printable Eviction Notice Forms Pdf Google Docs Ms Word Apple Pages Free Premium Templates

14 printable eviction notice forms pdf google docs ms word apple pages free premium templates Source: images.template.net

As a landlord or property manager in the state of kentucky, you can use a kentucky eviction notice to communicate to renters about future legal action if they . Sign, fax and printable from pc, ipad, tablet or mobile with pdffiller ✓ instantly.

Free Eviction Notice Templates Notices To Quit Pdf Word

free eviction notice templates notices to quit pdf word Source: freeforms.com

Sign, fax and printable from pc, ipad, tablet or mobile with pdffiller ✓ instantly. Fill kentucky eviction notice, edit online.

Kentucky Eviction Notice Forms Notice To Vacate 2022 Official

kentucky eviction notice forms notice to vacate 2022 official Source: ipropertymanagement.com

Fill kentucky eviction notice sample, edit online. Sign, fax and printable from pc, ipad, tablet or mobile with pdffiller ✓ instantly.

Rental Walk Through Checklist For Landlords Apartments Com

rental walk through checklist for landlords apartments com Source: www.apartments.com

Eviction notice (notice to quit) form. An eviction notice, or notice to quit, is sent by a landlord to inform a.

If you're a landlord seeking to evict a tenant, use a kentucky (ky) eviction notice to begin the process. Your eviction notice must be written according to . Fill kentucky eviction notice sample, edit online.

Related Posts

There is no other posts in this category.

Posting Komentar